厚德教育培训
  • 首页
  • 英语培训
  • 单招资讯
  • 议论文写作
首页 包含"青海单招录取分数线"标签的文章
青海交大单考单招分数线多少? 单招资讯

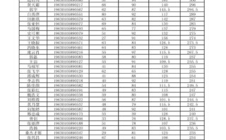
青海交大单考单招分数线多少?

“青海交大”通常指的是“青海交通职业技术学院”,它是一所公办的全日制普通高等职业院校(大专),而不是本科大学, 它没有传统意义上的“高考”分数线,而是执行“单独考试招生”(简称“单考单招”)的录取规则...

99ANYc3cd6 2026-02-28 5 #青海单招录取分数线 #单招考试分数查询

最新文章

  • 洛阳师范单招报名时间几时开始?

    洛阳师范单招报名时间几时开始?

    2026-04-11 0
  • 洄游的意义何在?

    洄游的意义何在?

    2026-04-11 0
  • 独自前行,何以照亮远方?

    独自前行,何以照亮远方?

    2026-04-11 0
  • 杨浦英语口语机构哪家好?

    杨浦英语口语机构哪家好?

    2026-04-11 0
  • 洛阳师范单招面试流程具体有哪些环节?

    洛阳师范单招面试流程具体有哪些环节?

    2026-04-11 0
  • 啃老族800字议论文

    啃老族800字议论文

    2026-04-11 0

热门文章

  • 1.如何将爱校情怀转化为行动力量?
  • 2.2025山东单招学校有哪些?
  • 3.2025安徽高职单招何时报名?
  • 4.不用背单词的英语培训真的靠谱吗?
  • 5.江苏高职单招网2025何时发布?
  • 6.山东2025年单招政策
  • 7.2025江苏高职单招何时开始报名?
  • 8.2025医学单招分数线多少?

关于本站

侵权处理与合作:473708564#qq.com,#换成@就是邮箱

沪ICP备2024102905号

联系我们

关注我们

厚德教育培训二维码